倒计时3个月,包装“新国标”即将上线,这是一场对全体茶企的超级“大考”。
其实,此前于2022年8月15日实施的《限制商品过度包装要求—食品和化妆品》(GB23350-2021)国家标准第1号修改单,便曾让行业高度聚焦于茶包装问题。当下将在2023年9月1日正式实施的《限制商品过度包装要求食品和化妆品》(GB23350-2021)强制性国家标准(以下简称“包装新国标”),更是牵动着广大茶人的注意力。


目前茶企们的包装整改情况如何?市场监管力度怎么样?包装新国标的施行将给行业带来哪些巨变?
在向有关部门与茶企茶人了解后,“说茶”为大家带来市场前端的最新情况。
强制性包装新国标实施在即
茶包装面临哪些大考
放眼全国,目前浙江、安徽、福建、重庆、陕西等多地都陆续开展了茶叶过度包装专项治理行动,公开报道显示,已有部分不合规的茶包装遭到了查处治理。
习近平总书记曾强调,“要注意节约环保,杜绝过度包装,避免浪费和污染环境”“绿色发展是构建高质量现代化经济体系的必然要求,是解决污染问题的根本之策”。包装新国标的实施,有利于引导绿色生产和消费,实现绿色环保发展,也有利于茶叶市场的良性发展。
在和福建省市场监督管理局有关领导的交流中,“说茶”了解到,这项标准其实早在2021年8月1日就已发布,已经给市场留了2年的过渡时间。福建省龙头茶企多、茶产业发达,省内各相关部门和龙头茶企都对包装新国标的推动都非常重视。福建省市场监督管理局做了大量工作,向有关部门和茶企茶农宣贯这一标准。就在发文前一天,福建省市场监督管理局还组织召开了线上标准宣贯会议,再次就包装新国标开展解读。

△6月1日,福建省市场监督管理局组织召开《限制商品过度包装要求—食品和化妆品》(GB23350-2021)国家标准第1号修改单线上宣贯会议
那么,目前包装新规的考核要点究竟在哪些方面呢?
“包装空隙率”“包装层数”“包装成本”,是包装新国标中,最核心的三大关键词。
在“包装层数”上,茶叶商品包装不超过四层;“包装成本”上,除直接与内装物接触的包装之外的包装成本不超过产品销售价格的20%。从当前茶企们的实际反馈来看,这两项较好把控和调整,而“包装空隙率”成为茶包装面临考验的关键所在。
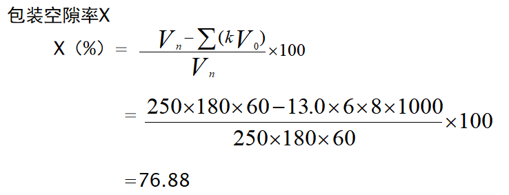
包装空隙率,定义为包装内去除内装物占有的必要空间容积与包装总容积的比率,受到销售包装体积、内装物体积、商品必要空间系数影响,有一套专门的计算公式。茶叶的商品必要空间系数是13,直白来讲,同等包装体积情况下,茶叶克重越重,空隙率会越小,超标的可能性也越小;同等茶叶重量情况下,包装体积越小,空隙率会越小,超标的可能性也越小。

△包装空隙率计算图解,说茶标注

△食品和化妆品包装空隙率要求
举个例子,假设有一款茶礼盒,里头装了6泡单泡克重为8克的茶叶,整体礼盒为长250mm、宽180mm、高60mm,按公式计算得出的包装空隙率是76.88%,远超48克茶叶空隙率小于60%的要求,则这款产品的包装不符合标准。

如果这6泡8克的茶要符合要求,最大可设置体积为1560cm3,则得把礼盒调整成长200mm、宽130mm、高60mm的形式,如此得出的空隙率是60%,才不会超标。这便意味着要把礼盒砍掉很大一部分。
同时,要注意的是空隙率要求不适用于销售包装层数仅为一层的商品,即单层包装不受限。

△说茶制图
事实上,包装新国标带来的影响,早已牵动市场。
据某茶叶品牌反馈,在包装新国标即将实施的当下,如果回收不合规的茶产品进行二次整改后再销售,设计、加工、人工、物流都需要投入大量的资金,不太现实。现在所能做的,主要还是在新国标正式实施前加大销售力度、做出适当让利,销掉旧款产品库存。北京马连道茶城某商户也表示,目前已经在对包装进行整改,不符合标准的现货准备在实施前快速卖掉。
对于茶包装企业来说,危机同样存在。“说茶”向某茶包装企业了解到,这半年以来的茶包装新订单出现一定减少,很多茶企都处于观望状态,部分此前已下单的空隙率较大的茶包装,也被按下了开发暂停键。

△“说茶”走访多家茶包装门店
包装新国标带来的影响是方方面面的,从茶业视角出发,包装新国标影响深远的背后,又存在哪些深层缘由?
茶叶包装整改难度重重
关键性问题是什么
在各大平台上搜索“包装新国标”“过度包装”等关键词,会发现相较于其他产品,茶叶,是粽子和月饼之外被高频提及的词汇之一。
茶叶包装问题为什么屡受关注?即将实施的包装新国标又为何让茶人如此忧虑重重?深入走访茶市场,调研茶企与包装企业后,“说茶”发现这种忧思并非无根之木。

△图片来源:百度搜索截图
某品牌茶企负责人表示,受包装新国标影响最大的是散茶,茶叶不像酒,茶本身具备一定的蓬松度,需要存储空隙。而如果包装超过两层,一些本身叶片比较大,较为松散的茶叶,就很难达到包装新国标的要求,夸张一点说有些茶叶甚至还没“出生”就被判了“死刑”。
在走访福州五里亭茶业商会时,我们同样听到了对于散茶的忧虑。像二级白牡丹、寿眉、贡眉等这类散茶,体积大、重量轻,即便是放在纸盒或者铁罐子里头,只要里面再加一层铝袋,就很难达到标准,如果挤压这类茶叶来缩小体积又会把茶叶压碎。

△“说茶”向五里亭茶业商会了解茶包装市场情况
总体来说,绿茶、白茶、黄茶、青茶(乌龙茶)、红茶、黑茶这些不同的茶类有着不同的特性,每个茶类下又有不同形态和大小的茶品,加之紧压茶和散茶不同的包装方式,所呈现出来的茶叶体积与重量情况各不相同。然而在相同的商品必要空间系数下,就意味着有些茶类天生处于“劣势”。

△叶片较为松散粗大的老寿眉
同时,某些特殊茶类,在包装层数上也会存在争议。譬如被称为“纸包茶”的漳平水仙茶,用纸包固定焙干成型是属于漳平水仙制作工序中的一部分,这种是否可以同粽子的粽叶、香肠的肠衣一样,归类到“直接接触内装物的属于产品固有属性的材料层”不算在包装层内?仍需持续关注。

茶叶本身的产品特性之外,对于包装新国标的理解偏差,也是当前包装新国标引起市场高度紧张的关键所在。
部分茶企反馈,在2021年包装新规发布后,其实已有对茶叶包装进行了一波整改,但当时企业对于新规的理解存在些许出入,误以为“单件净含量小于10g产品K值为同类产品的5倍”这项可以运用到单泡茶产品上,这便致使整改后的包装仍未能符合要求。

另一方面,茶叶是一个礼品属性很强的商品。部分消费者对于茶叶的礼品消费需求,也让茶礼盒的设计难度“更上一层楼”。如何在限定的体积和材质基础上,实现更出彩的包装,成为茶品牌与茶包装企业的思虑关键。
新国标带来的“危”与“机”
茶包装未来何去何从
包装问题是表象,深层次原因还是茶行业的市场规范化、标准化问题。需要正视的是,包装新国标实际上是帮助茶叶包装升级的一剂猛药。
而包装新国标的实施,或许会引领以下这些市场动向:
商品竞争回归到茶叶产品品质本身
包装新国标的实施,将让产品开发焦点进一步聚焦于茶叶本身,而并非包装。
或许短期内,包装新国标的确会带来一定的市场震荡,尤其让部分品牌茶企阵痛强烈,但长远来看,包装新国标的推行,一定会进一步规范、整肃茶市场,让包装乱象无处遁形。这将成为茶叶商品回归本质和创新突破的重要转折,对茶产业的升级蜕变与茶品牌的健康成长来说都是好事。

△“说茶”向资深茶人了解市场情况
单层包装、精巧而紧密的包装成为主流
受限于包装空隙率,或许未来单层的罐装包装和袋装包装,会成为部分散茶的主流包装。同时,紧密而精巧的包装方式,譬如精致的木盒加上密集的茶叶泡袋,也会成为礼品茶的另一种呈现形式。

△简约而不失古韵精致的木盒茶包装
绿色、环保、特色化、个性化的
包装创意受到重视
在限定的体积与包装材质基础上,要做到更出彩的茶包装,则要在设计方面下苦工。
对此,深圳市柏星龙创意包装股份有限公司提出,包装要朝着简约化、环保化方向规划。最核心的是进一步优化包装结构,使用环保材料或可二次利用材质,推行茶叶包装轻量化、可循环;其次茶叶包装具有极强的文化和地域属性,在开发产品过程中可深度挖掘文化内涵及品牌理念,使包装简约而不简单。茶企在产品创新上也需要考虑到年轻消费者的本质需求,用明亮的配色更易吸引年轻消费群体。

△紧密排列的茶包装
市场总是机遇无限,而只有打磨好内功才更有可能抓住机遇。让消费更简单、让产品更清晰,也希望随着包装新国标的实施落地,让更多优秀的、规范的茶产品、茶品牌得到展示舞台,带动整体茶产业的高质量健康发展。
来源:说茶ShowCha,信息贵在分享,如涉及版权问题请联系删除