近日,由武夷山市人民政府支持,海峡两岸茶业交流协会、南平市农业农村局及南平市海峡茶业交流协会联合主办,海峡两岸茶业交流协会斗茶文化推广委员会承办,福建省茶业协会、武夷山市茶产业发展中心、武夷山市茶业同业公会、武夷山市商务局、武夷山市文化体育和旅游局共同协办的第二届“海峡杯”武夷岩茶茶王争霸赛决赛圆满落幕。

权威审评团助阵
严循标准 专注品质
此次大赛主会场落地武夷山,设置领导、专家评委等茶叶评审区。出席决赛现场的有省纪委原副书记、海峡两岸茶业交流协会副会长张大共,福建省商务厅原副厅长、海峡两岸茶业交流协会副会长陈少和,中国出口信用保险公司福建分公司原巡视员、海峡两岸茶业交流协会协会副会长连逸群;以及由郭雅玲、陈銮、刘国英、刘宝顺、吴宗燕、马梅荣、占仕权、王小明、王正环、林燕萍、陈百文、董丽清等省级、地方资深评审组成的专家评委团,可谓是群英荟萃。

同时,为促进武夷茶技艺交流与进步,提升武夷茶的影响力,保障赛事含金量,本次大赛沿袭传统,与“海茶会斗茶中国行”相结合,进行“百点同品鉴,万人共评茶”的同步分会场活动。由具备专业茶叶审评能力的茶专业相关学院、茶叶协会组织机构、大师工作室、各行业杰出代表、茶行业媒体以及优秀茶行业机构代表组成100个同步分会场,辐射湖南、安徽、浙江、福建、四川、江西、云南、江苏等全国各地,盛况空前。
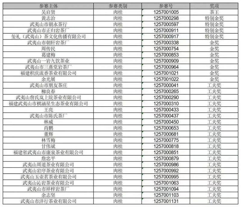
决赛茶样经斗茶赛系统小程序暗码、审评码的转换后,专家审评团及大众审评团依照茶叶审评标准,对每份茶样的外形、香气、滋味、汤色、叶底逐一展开审评。最终,评出了茶王、特别金奖、金奖、工夫奖四大奖项总计122名,瓜分178万元奖金。审评过程兼具公平、公正和公开性,评出的茶王名副其实,既符合专业审评要求,又符合大众审美趋势。
衷心感谢前来参赛的茶企、茶人,因你们的踊跃参与,才有了这一场影响力深远的茶文化交流盛会。
斗茶中国行品鉴点招募
再续岩骨花香
决赛现场,主会场专家组对获奖茶叶质量高度评价,一致认为获奖茶的滋味及香气各有千秋,同步分会场大众组对获奖茶也赞不绝口,纷纷感慨“武夷岩茶韵致之丰沛”。
如此盛宴就此结束未免可惜!现,“斗茶中国行”第二届“海峡杯”武夷岩茶茶王争霸赛品鉴点开始招募,欢迎您前往斗茶赛系统报名参与活动。
申办成功后,我们将为您寄送茶样包一份,您可邀请身边茶友共同品鉴来自高端赛事的参赛茶样,感受源于武夷山脉的岩骨花香。
决赛现场茶香满溢
定格瞬间 精彩再现
报名之前,让我们来一起回顾决赛当日的盛况,定格那些触动心弦的场景:








坚持推广茶文化
肩负使命 持续前行
为深入贯彻党的十九届五中全会精神,突出武夷山生态优势,全面学习把握落实党的二十大精神,以新发展理念为指引,立足中国特色,科学统筹茶文化茶产业茶科技,依托斗茶赛小程序为赛事赋能、促进茶文化传播、制茶技艺交流,推动中国特色现代茶产业高质量发展,为再创茶业强国辉煌贡献力量。
本届武夷岩茶茶王争霸赛举办,对于武夷茶产业来说,不仅是武夷茶数百年的文化和技艺传承和创新,也为武夷岩茶的宣传推广带来了更多的可能性,带动武夷岩茶知名度的提高,有力促进了产业增效,为武夷岩茶产业取得长足发展夯实基础,同时我们可以从中感受到博大精深的中国茶文化。
未来,我们将以党的二十大精神为指引,用满腔的热情坚守着初心及信仰,弘扬茶文化,坚持乡村振兴和斗茶赛高效化双轮驱动、协同发展,促进武夷茶发展呈现新气象、茶文化传播开启全新篇章。
附1:第二届“海峡杯”武夷岩茶茶王争霸赛获奖名单
获奖名单公示




来源:斗茶赛系统
如涉及版权问题请联系删除