360度摇青机——摇出一杯好喝又健康的茶
为了克服传统的滚筒式摇青机存在的投青量过多带来的摇青不匀、走水不畅、摩擦不充分、发酵较难控制的弊端,茶与食品学院茶学教师团队联合校外导师共同研发了360度球型摇青机。该设备设有内外两轴,内外轴电机通过涡轮蜗杆组合与内轴、外轴连接,当电机工作时,内外轴开始运动,从而达到球形外壳360度旋转运动,同时在送风管上加装导流板,球罐内部不同点的实测最高温度与最低温度偏差2K,气流分布均匀,保证摇青更均匀。
历时多年试验,证明360度球形摇青机在武夷岩茶关键工序做青环节中效果显著。通过感官审评、挥发性代谢组学分析、儿茶素组分测定、氨基酸组分测定等结果显示,品质均优于手工做青和滚筒做青,为武夷岩茶提质增效提供坚实的科技支撑。

图1-张渤院长和校外导师鲍忠兵带领团队成员观察360度球形摇青机做青情况
相比于传统的乌龙茶综合做青机,360度球形摇青机可实现内轴和外轴联合制动,完成罐体360°旋转运动,使茶青受力更均匀,有效避免青叶由于受到挤压而出现的“死青”问题。同时,相比于手工水筛做青,360度球形摇青机可实现单次装放超过100斤青叶。该机器可有效解决综合做青机做青不均匀及手工水筛做青产量小、人工成本高等武夷岩茶“卡脖子”问题。

图2-360度球形摇青机
茶叶感官审评专家小组对由相同青叶“水仙”和“肉桂”(萎凋程度一致)经不同做青方式(手工水筛摇青、综合做青机摇青机及360度球形摇青机)制作而成的成品茶进行多轮标准感官审评。结果显示,由360度球形摇青机制作而成的武夷水仙和肉桂在香气、滋味和叶底等方面均优于手工和综合做青机,综合评分最高。
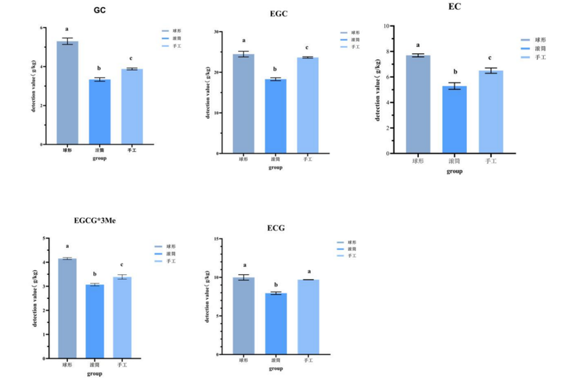
同时,团队对三款不同做青方式的武夷水仙成品茶开展了代谢组学分析。结果显示,在球形摇青机武夷水仙中,共鉴定到24个挥发性物质显著高于综合做青机及手工水筛制作的武夷水仙(Foldchange > 1.3、P < 0.05),部分物质被鉴定出具有愉悦的花香、果香、木质香等。如具有明显水果风味的反式-3-己烯基乙酸酯、3-甲基-丁酸-1-乙基-1,5-二甲基-4-己烯酯等;具有愉悦花香的物质如β-苯乙酸乙酯、10-十一烯酸、α-甲基-苯甲醇等;具有木质和辛香的甲酸异莰酯、大根香叶烯D、10-十一烯酸 a,4-二甲基-3-环己烯-1-乙醛等。儿茶素组分测定结果显示,GC,EGC,EC,EGCG*3Me的含量在球形摇青机武夷水仙中均显著高于滚筒和手工武夷水仙。23种氨基酸组分测定结果显示,球形摇青机武夷水仙中谷氨酸和茶氨酸含量均显著高于滚筒和手工摇青武夷水仙。以上物质的大量积累是构成武夷岩茶优异品质的重要因素。另外,值得注意的是,EGCG*3Me的保健功效较好,部分试验结果其保健功效要优于EGCG。

图3-3种不同做青方式武夷水仙儿茶素组分含量
该360度球形摇青机已经获得实用新型专利(一种360度茶叶摇青装置 授权公告号:CN 210184396 U)。360度球形摇青机的成功研发,为提高茶农收入,推动武夷岩茶高质量发展,助力武夷岩茶新质生产力发展具有重大意义。
来源:研茶与创新
如涉及版权问题请联系删除