

前言
几千年来,由于其独特的风味和香味特征,茶一直是人类文明的一个重要组成部分,目前在许多国家流行。茶不仅是一种饮料,而且具有一系列的医疗功效,包括癌症预防、抗氧化、抗菌、抗炎、心血管保护、抗高血糖和抗肥胖的品质。茶是以鲜叶为原料,根据发酵程度可分为六大茶类,包括绿茶、白茶、黄茶、乌龙茶、红茶和黑茶。具有重要商业价值的不同茶的感官特征主要取决于对味道和香气的印象。通过实施有效的生产程序,可以优化不同茶的香气和质量。此外,茶的质量还取决于茶品种是否适合制作某一茶类。也就是说,每个品种都有一个理想的茶叶产品可供开发,这突出了茶叶品种与茶叶质量之间的密切关系。一般来说,茶品种是否适合加工受鲜叶的色泽、叶面积大小和代谢产物的影响,尤其是非挥发性化学物质是影响茶风味的主要因素。
鲜叶的理化特性因品种而异。例如,紫色茶叶的原花青素浓度更高,而黄色茶叶的氨基酸含量更高,叶片更薄。这些变化对茶叶加工和茶叶质量有一定的影响。紫娟(ZJ)是一种典型的紫茶。ZJ的鉴定属性是存在紫色的芽,包括嫩芽和五叶,ZJ的成熟叶片逐渐转变为充满活力的绿色,与其他绿茶品种中的嫩绿叶子非常相似。ZJ在味道和香气方面表现出独特的风味。茶中紫色芽和幼叶的存在有助于其独特的特征,提供了不同于其他茶类型的感官体验。黄茶品种中黄1号(ZH1)是最近开发的一个白化茶品种,其嫩芽和叶片呈黄色。黄茶以其高含量的酚类化合物以及丰富的氨基酸、维生素和可溶性糖而闻名。这些特性不仅增强了黄茶的风味,而且使黄茶成为一种非常有益的饮料。福鼎大白茶(FUD)品种具有典型的绿色芽叶特征。该品种被广泛认为是最适合生产绿茶、红茶和白茶的品种之一。
绿茶是一种未经发酵的茶,由于存在大量氨基酸,因此具有鲜味。白茶是一种发酵程度最低的茶,因其鲜味和适度的甜味以及其独特的健康优势而在中国广受欢迎。红茶是一种全发酵茶,可以制成明亮的橙红色饮料。多酚氧化酶(PPO)和过氧化物酶(POD)使儿茶素转化为茶黄素,从而产生花香和顺滑的香味。此外,这种令人爽口和顺滑的味道也可能与氨基酸、可溶性糖和有机酸的存在有关。因此,要创造优质的商品茶,就必须选择合适的茶品种并采用适当的加工技术。
茶叶在不同的加工阶段经历多种物理化学反应,生产出不同种类的茶。茶中物质的组成和结构会产生特殊的味道,如鲜味、涩味和苦味。萎凋是茶叶生产过程中的一个关键初始阶段,对茶叶的整体质量有着重大影响。在萎凋过程中,茶叶的水分从70-80%减少到20-30%。细胞在萎凋的初始阶段保持其活性,但在后期逐渐退化,导致显著的代谢变化。随着萎凋时间的延长,水解酶的活性增强,导致鲜叶中发现的某些大分子化合物生物转化为较小的化合物,这些化合物有助于茶的独特风味,如氨基酸及其类似物、类黄酮苷、黄烷、生物碱、脂肪酸偶联物、羰基化合物、双类黄酮、多黄酮和萜苷。最近的研究为整个萎凋阶段的代谢机制提供了新的视角。据报道,大多数负责产生类黄酮的基因和蛋白质在萎凋的24 h内被抑制,这表明类黄酮水平的下降可能与它们的生物合成下降有关。此外,研究团队之前的研究检测到31种与氨基酸代谢控制相关的蛋白质,并发现总共776种蛋白质在萎凋阶段差异表达,表明细胞活性在整个萎凋过程中保持活跃。由于茶叶中的代谢产物对决定茶叶质量至关重要,而且这些代谢产物直接受蛋白质的调节,代谢组和蛋白质组的结合分析是了解鲜叶萎凋过程中质量形成的一种很有前途的方法。然而,不同品种茶叶中代谢产物和蛋白质的动态变化以及萎凋过程中潜在的调节机制尚不清楚。
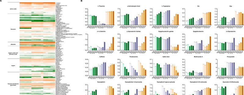
在该研究中,使用靶向和非靶向代谢组学对福鼎大白、紫娟和中黄1号品种的萎凋期鲜叶(高达36 h)进行了分析,并使用蛋白质组学研究了非挥发性物质生物合成的代谢途径。该项研究可以对不同茶品种引起的茶风味成分的变化进行创新性分析,并为茶叶加工提供有价值的指导。
结果







结论
该研究采用非靶向代谢组学、氨基酸靶向代谢组学和蛋白质组学技术,研究了三个不同叶色的茶树品种在萎凋期代谢产物的动态变化。对代谢组学和蛋白质组学数据进行的主成分分析显示,不同茶品种和萎凋时间的代谢产物和蛋白质图谱存在明显差异,阐明了三个茶树品种的非挥发性化合物和品质的变化。三个品种的鲜叶在萎凋期氨基酸含量逐渐增加。中黄1号茶树品种表现出氨基酸水平升高和多酚水平降低。这些变化归因于参与蛋白质降解的酶的表达增加,以及与苯丙烷类和类黄酮生物合成相关的酶的丰度降低。此外,与福鼎大白和紫娟相比,中黄1号茶树品种具有更高的非蛋白质氨基酸L-茶氨酸和GABA含量,这归因于与福鼎大白或紫鹃相比,中黄1号中L-茶氨碱和GABA的生物合成更大。福鼎大白和中黄1号品种表现出较高的黄烷醇和黄烷醇-O-糖苷含量,这受FLS水平增加的控制。紫娟和中黄1号品种表现出较高的过氧化物酶水平,这对茶黄素的生物合成至关重要。总之,该研究从代谢组学和蛋白质组学的角度对三种不同叶色的茶树品种在萎凋过程中的风味代谢产物及其调控提供了新的见解,可以为指导茶树品种的选择和加工,开发高质量的茶产品提供有用的信息。
来源:茶学奇点
如涉及版权问题请联系删除